教科書って、本当に正しい?
コロナ騒動で大学の授業は後期もオンラインになり、我々教員は動画作成などの準備に追われています。 せっかく動画で配信するのだから、板書の講義ではできない工夫をしてみよう!ということで、 基礎化学の講義で使えそうな「液体酸素と磁石をつかった簡単な実験映像」を撮影してみました。 (正直に言うと、「30℃を超える猛暑日が続いているのでVol. 42 のような涼しげなことをやりたくなった」というだけだったりするが。。。)
動画で示したように、液体窒素に磁石を近づけても特に何も起こりません[注1]。 一方、液体酸素は磁石にくっつきます。これは高校化学(ルイス構造式)では説明できない現象で、 大学で量子化学を学ばないと理解できません。
よく教科書にのっているように、酸素の分子軌道はFig. 1のようになります。酸素の最高被占軌道(HOMO)は 2重に縮退した反結合性のπ軌道(1πg)で、 電子はそれぞれの分子軌道に1つずつ、スピンが平行になるように収まっています。 「HOMOに不対電子がいる」というのがポイントで、これが酸素の磁性の起源になっています。

Fig. 1 酸素の分子軌道
一方、窒素の分子軌道を調べてみると、ふつうはFig. 2のように描かれています。 酸素とちがってHOMOに不対電子がいないので、はっきりとした磁性は発現しません。 注目したいのは2σgと1πuの軌道エネルギーで、窒素と酸素で上下関係が逆転しています。 第2周期の等核2原子については、Li2~N2が2σg>1πu、 O2とF2が1πu>2σgとなることが、 多くの教科書で紹介されているかと思います。

Fig. 2 窒素の分子軌道(無機化学の教科書によく書いてあるパターン)
しかし、この説明が正しくないかもしれないことに気づいてしまいました。 授業スライドの資料としてGaussianで分子軌道計算を行ったところ、N2は(O2やF2と同じく) 1πu>2σgという結果(Fig. 3)がでてしまったのです。

Fig. 3 窒素の分子軌道(今回浮上した1πu>2σgの可能性)
最初は自分の計算が間違っている可能性を疑いましたが、すこし調べてみると「1πu>2σg」と書いてある 文献も見つかりました。
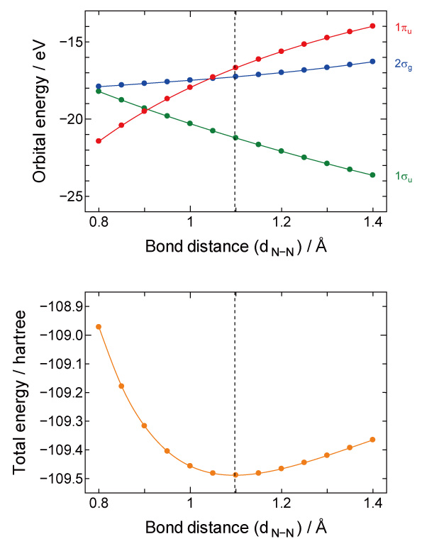
このあたりの経緯は、この論文で詳しく解説されています。 そこで今回、その論文を参考にして、より高精度な条件(CCSD(T)/aug-cc-pV5Z)で追検証を行ってみました。 結果をFig. 4に示します。今回の計算で予想されたN2分子の平衡結合距離は、実験値(1.0977 Å、図中の破線の位置) と非常によく一致するものとなりました。Fig. 4(上)のグラフより、 計算化学的には「1πu>2σg」(Fig. 3の模式図)の方が正しそうです。[注2]

Fig. 4 今回の計算結果(上:結合長と軌道エネルギーの関係、下:結合長と安定性の関係).N2の結合長の実験値を破線で示した.
この論文によると、基底関数のサイズが小さい計算(STO-3GやSTO-6Gレベル)だと、 2σg>1πu(よく教科書でみる順序)という結果がでてしまうらしいです。 なお、2σg>1πu、2σg<1πuどちらであっても、 「窒素が三重結合」であることや「不対電子をもたない」というのは変わらないのでご安心を。
教科書には計算機のスペックが低くて荒い近似しか行えなかった時代の成果が引用されていることが多く、 しっかりと探せば今回と似たような事例は実はもっとたくさんあるのかもしれません。 「教科書に書かれているから!」といって鵜呑みにするのではなく、何事も疑って臨む姿勢が大事だと気づかされました。
(August 2020, YI)
[注1] 正確にいうと「反磁性」という性質があり、磁石に少しだけ反発します。 動画の映像ではわかりづらいかと思いますが、磁石を近づけると液体窒素の沸騰が激しくなりました。(磁石への反発を反映?)
[注2] エネルギー差はわずかですし、理論計算が必ずしも正しいとは限らないので、Fig. 2の可能性を完全に否定するものではありませんが。